Class 6 Mathematics

Assignment 7
Questions
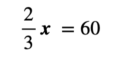
1. Solve by trial and error method.

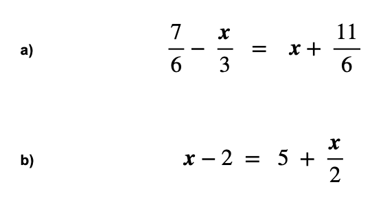
2. Solve the equation and check the results.

3. Solve and verify the answer.


Assignment 7
Questions
1. Solve by trial and error method.

2. Solve the equation and check the results.

3. Solve and verify the answer.

2025 JVEDU. All rights reserved