Class 7 Mathematics
Assignment 2
Solution for question 3
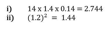
3. Evaluate the following two problems
i) 14 x 1.4 x 0.14
ii) The Below

Answer

Assignment 2
Solution for question 3
3. Evaluate the following two problems
i) 14 x 1.4 x 0.14
ii) The Below

Answer

2025 JVEDU. All rights reserved