Class 7 Mathematics

Assignment 3

Questions

1. List 3 rational numbers between

Solution

2. Simplify

Solution

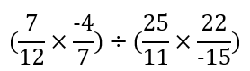
3. Simplify

Solution

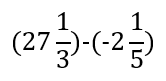
4. Simplify

Solution

Back to Chapters