Assignment 4
Solution for question 2
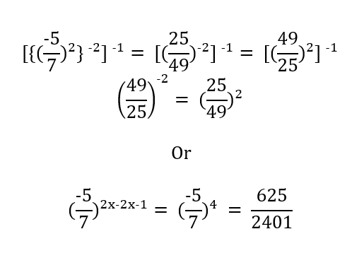
1. Simplify
Answer
Back to Questions
2025 JVEDU. All rights reserved