Assignment 4
Solution for question 3
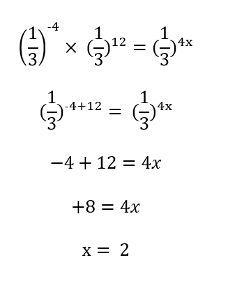
4. Find x by solving the below equation
Answer
Back to Questions
2025 JVEDU. All rights reserved