Assignment 5
Solution for question 1
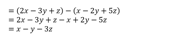
1. Subtract x – 2y + 5z from 2x – 3y +z
Answer
Back to Questions
2025 JVEDU. All rights reserved