Assignment 5
Solution for question 2
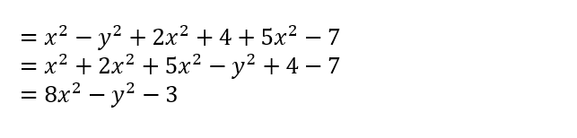
2. Add the 3 equations below
Answer
Back to Questions
2025 JVEDU. All rights reserved