Assignment 5
Solution for question 3
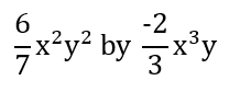
3. Multiply
and find the value if x=1 and y= -1
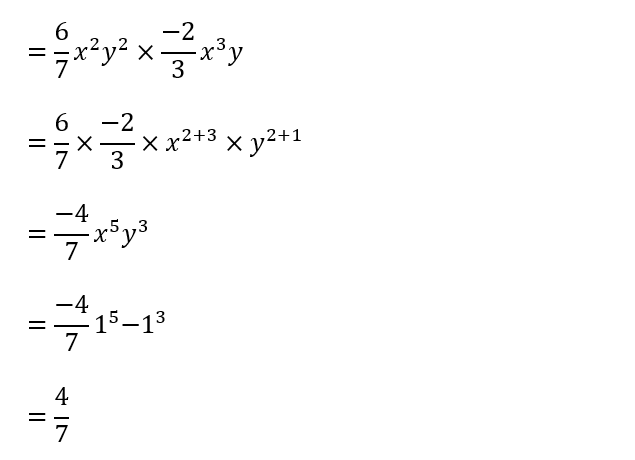
Answer
Back to Questions
2025 JVEDU. All rights reserved