Assignment 5
Solution for question 4
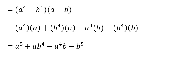
4. Find the product of
Answer
Back to Questions
2025 JVEDU. All rights reserved