Skip to content
JVEDU
Elementary Education
class 1
class 2
Class 3
Class 4
Class 5
Middle School
Class 6
Class 7
Class 8
Secondary
Class 9
Class 10
Senior Secondary
Class 11
Class 12
More
Prayoga Science By Doing
Google forms
Flute Program
Financial Literacy
About
Class 8 Mathematics
Assignment 4
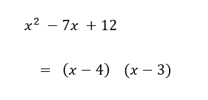
Solution for question 1
Answer
Back to Questions
2025 JVEDU. All rights reserved
Loading Comments...
Write a Comment...
Email (Required)
Name (Required)
Website
Subscribe
Subscribed
JVEDU
Sign me up
Already have a WordPress.com account?
Log in now.
JVEDU
Subscribe
Subscribed
Sign up
Log in
Copy shortlink
Report this content
View post in Reader
Manage subscriptions
Collapse this bar