Assignment 2
Solution for question 2
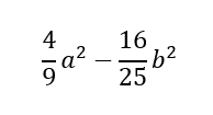
2. Factorize the following
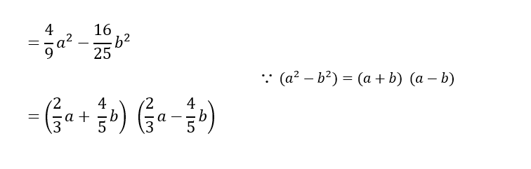
Answer
Back to Questions
2025 JVEDU. All rights reserved