Assignment 2
Solution for question 4
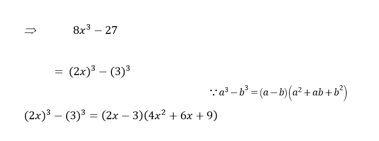
4. Factorize the following
Answer
Back to Questions
2025 JVEDU. All rights reserved