Assignment 2
Solution for question 5
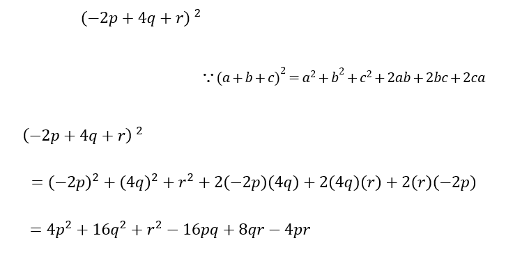
5. Expand the following
Answer
Back to Questions
2025 JVEDU. All rights reserved